行業資訊
道路坡度對路面排水的影響有哪些?
本文采用美國聯邦公路管理局提出的偏溝和雨水口流量計算方法,經計算發現我國《雨水口》(16S518)標準圖集中雨水口泄水能力推薦值有不合理之處。通過分析國內外道路坡度和雨水口布置的相關要求,結合案例計算,總結了道路橫坡、縱坡、箅前水深和雨水口布置間距之間的變化關系,并提出道路設計漫幅的推薦值。通過調整道路設計坡度,將道路路面轉變為兼具收集和輸送路面雨水功能的路面行泄通道,并利用曼寧公式計算了路面行泄通道的排水能力。
雨水收集、輸送和排放系統是城市基礎設施的重要組成部分。傳統市政雨水系統設計在輸送和排放系統上著力較多,而在雨水收集系統設計上有所忽視,絕大多數情況下都是根據經驗設計,而未考慮新形勢下的新要求。
路面排水系統是雨水收集系統的一個重要組成部分,根據降雨強度不同,路面排水系統有2種運行模式:①當降雨強度小于城市雨水管網系統實際排水能力時,路面排水系統僅承擔將直接降落到路面的雨水收集到雨水管道的任務;②當降雨強度大于城市雨水管網系統實際排水能力時,路面排水系統還需要承擔超出管道輸送能力的那部分雨水(不一定是直接降落到路面的雨水,也可能是周邊地塊的匯水或者檢查井溢出的雨水)的輸送任務。當城市內部河網水系未滿時,設計合理的路面排水系統可起到將超出管道排水能力的雨水徑流輸送到河網水系的作用,設計不合理的路面排水系統將導致雨水在城市道路上蓄積。
1 設計標準
路面排水設計主要包括表面排水、偏溝和雨水口的設計,設計標準主要是當地的設計暴雨重現期和允許的道路漫幅。在傳統設計中,排水設計人員主要是通過調整雨水口間距來滿足設計要求,而很少去要求道路設計人員調整道路坡度,導致我國道路的路面排水系統設計時只考慮了雨水收集而沒有主動考慮雨水的輸送。
《室外排水設計規范》(GB 50014-2006,2016年)4.7.1和4.7.2條,《城鎮內澇防治技術規范》(GB 51222-2017)5.2.1、5.2.2條均對雨水口設計作出規定。《城鄉建設用地豎向規劃規范》(CJJ 83-2016)5.0.2、6.0.2條對道路坡度作出規定。《城市道路工程設計規范》(CJJ 37-2012)5.4.1、5.5.2、6.3.2條關于緣石和道路坡度也有相關規定。
對我國現行有關規范要求總結如下:①雨水口設計流量應為雨水管渠設計重現期計算流量的1.5~3倍,雨水口間距宜為25~50 m。②道路縱坡不應小于0.3%(不滿足時需采取特殊排水措施),道路橫坡應采用1.5%~2.0%,路肩橫坡可比路面橫坡加大1.0%。③立緣石外露高度宜為10~20 cm。④我國目前暫無道路漫幅的規定。
美國聯邦公路管理局2009年出版的《Urban Drainage Design Manual》有關道路坡度的規定如下:①道路縱坡不應小于0.5%,不得小于0.3%。②雙車道(單向)時道路橫坡應為0.015~0.020;三車道或更多(單向)時,最小為0.015,每車道增加0.005~0.010,最大不能超過0.040。③最佳橫坡坡度為2%。
道路漫幅的規定可借鑒美國科羅拉多《Urban Storm Drainage Criteria Manual》的規定,見表1。

《Urban Storm Drainage Criteria Manual》對于內澇防治設計重現期時的道路積水有詳細規定,我國《室外排水設計規范》有類似規定,見表2。

2 計算理論
道路雨水偏溝主要有2種型式:單一斷面和復合斷面(見圖1)。出于計算簡便的需要,僅介紹單一斷面(三角溝型)的計算方法。

2.1
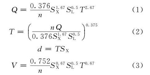
偏溝水力計算偏溝水力計算公式采用修正曼寧公式,見式(1)~式(3):

偏溝設計流量Q由本段流量和前段超越流量(計算方法見后)組成,本段流量是一個隨集水時間變化而變化的值,考慮到偏溝匯水面積通常很小,可以直接假定集水時間t=5 min,代入當地暴雨強度公式即可算出設計暴雨強度q,乘以匯水區面積和徑流系數即為本段流量(根據最新規范要求,還需乘以安全系數1.5~3.0)。2.2
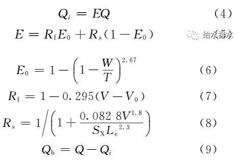
雨水口泄水能力計算安裝在單方向縱坡坡段上的偏溝式雨水口的泄水能力,按式(4)~ 式(9)計算:


雨水口的泄水能力與道路的過水斷面密切相關。對于安裝在單向縱坡坡段的偏溝式雨水口,當流速較低時,雨水口正上方的雨水會被全部截流(即正面截流),同時,一部分雨水口正上方之外的雨水也會被截流(即側面截流)。當縱向坡度太大,流速超過雨水口的攔截流速V0時,部分水流會越過雨水口,造成正面截流效率下降。V0越大,雨水口的截流效率越高。我國目前缺乏不同類型雨水箅子的攔截流速實測數據,經比較后發現,國家標準圖集《雨水口》(16S518)中球墨鑄鐵雨水箅子和《Urban Drainage Design Manual》中P30型雨水口平面布局最接近,因此借鑒其攔截流速試驗成果(見圖2),經擬合后,可按V0=0.75+1.67 Le計算,一般在0.5~2.5 m/s。

《Urban Drainage Design Manual》中雨水口側面截流效率Rs和攔截流速V0計算公式中的L均為雨水口長度,而《Urban Storm Drainage Criteria Manual》中采用雨水口有效長度Le主要考慮到現實中,雨水口可能會堵塞,推薦采用雨水口有效長度Le。
3 標準圖集探討
國家標準圖集《雨水口》(16S518)提供了一個在一定水力條件下(道路縱坡0.3%~3.5%,橫坡1.5%,箅前水深40 mm)通過1∶1的水工模型經過試驗確定的不同型式雨水口泄水能力,如表3所示。
當箅前水深大于40 mm時,圖集還提供了雨水口過流曲線圖供設計人員查找,見圖3。圖中Ⅰ、Ⅱ、Ⅲ型分別為道路縱坡0.3%、1.0%和3.5%。對雨水口泄水能力進行理論計算(箅子尺寸為0.45 m×0.75 m,不考慮箅子堵塞),計算結果見表4、表5和圖4。




對比表3~表5和圖3、圖4中的數據,可以看出有較大差別,部分原因為中美兩國雨水口型式不同。但我國標準圖集中的某些數據很難用理論進行解釋:
(1)雨水口泄水能力不應超過其偏溝流量,而我國標準圖集泄水能力推薦值卻超過了偏溝流量。對于箅前水深、道路橫坡和縱坡一定的偏溝式雨水口,其偏溝流量是固定的(見表6)。對于箅前水深4 cm的偏溝式雨水口,偏溝式雨水口泄水能力不應大于18.2 L/s(SL=0.3%)、33.1 L/s(SL=1.0%)、62.0 L/s(SL=3.5%),這和箅子數量無關。

(2)單方向縱坡坡段的雨水口,增加其數量將提高雨水口正面攔截速度和側面截流效率,但對雨水口總截流效率提升作用有限,而我國標準圖集推薦泄水能力隨箅子數量增加而快速增加(見表7)。

4 雨水口布置
雨水口布置計算假設條件如下:
(1)道路為單方向縱坡,路面粗糙系數為0.014,綜合流量徑流系數為0.75,道路典型寬度為12 m、18 m、24 m、30 m、36 m、42 m、50 m。
(2)雨水箅子尺寸為0.45 m×0.75 m,雙側布置。不考慮雨水口堵塞對正面攔截速度和側面截流效率的影響,而將該影響體現在雨水口設計流量中,即假定雨水口流量為雨水管渠設計重現期計算流量的2倍(規范要求1.5~3倍)。不考慮雨水口連接管與雨水檢查井的布置。
(3)雨水管渠設計重現期為3年一遇,內澇防治設計重現期為50年一遇,集水時間為5 min,當地暴雨強度公式為:q=2 457.435(1+0.633lgP)(t+11.951)0.724(10)t=5 min時,3年一遇的設計暴雨強度為412.25 L/(s˙hm2),50年一遇的設計暴雨強度為657.14 L/(s˙hm2)。可見考慮安全系數的3年一遇設計暴雨強度已大于50年一遇時設計暴雨強度。
雨水口布置計算結果見表8~表12。



對以上數據進行分析,可以得出以下結論:
(1)當箅前水深和道路橫坡保持不變時,雨水口允許最大間距隨縱坡增大而增大。縱坡1.0%相比縱坡0.3%時的雨水口允許最大間距增大30%~50%,平均增大38%;縱坡3.5%相比縱坡1.0%時的雨水口允許最大間距增大55%~67%,平均增大59%;縱坡3.5%相比縱坡0.3%時的雨水口允許最大間距增大104%~142%,平均增大119%。
(2)當道路縱坡和漫幅保持不變時,雨水口允許最大間距隨橫坡增大而增大。橫坡2.0%相比橫坡1.5%時的雨水口允許最大間距增大55%~65%,平均增大59%。建議道路設計時橫坡采用2.0%。
(3)當箅前水深、道路橫坡和縱坡保持不變時,雨水口允許最大間距隨箅子數量增大而增大。雙箅式相比單箅式的雨水口允許最大間距增大33%~77%,平均增大57%。
(4)如果以國家標準圖集《雨水口》中的箅前水深4 cm(SX=1.5%,SL=0.3%)作為雨水口布置的依據,那么對于寬度大于等于18 m的道路,其雨水口允許最大間距均小于國家規范推薦值(25~50 m)。
(5)如果以表1中允許漫幅作為雨水口布置的依據,那么《室外排水設計規范》推薦的雨水口允許最大間距(25~50 m)均可以滿足要求。例如,對于縱坡0.3%和橫坡1.5%的50 m寬道路,當雙側間隔28.5 m布置單箅雨水口時,其箅前水深為8 cm,漫幅為5.33 m,此時立緣石未淹沒(立緣石外露高度為10~20 cm),且未淹沒2條車道(至少6.5 m寬)。
我國尚無明確的道路漫幅規定,建議有關部門盡快制定相關的標準。在相關標準未出臺前,設計人員計算時采用的道路漫幅可參考表13推薦值。

5 路面行泄通道
我國現行道路設計規范要求道路縱坡不能小于0.3%,該規定對于道路路面雨水收集很有必要,但是很多情況下卻阻礙了道路路面雨水輸送功能的實現。由于我國地下雨水管道普遍缺乏良好維護,其雨水輸送能力隨著使用年限增加逐年減弱。如果道路縱坡設計合理,道路的路面雨水輸送功能可以有效彌補地下管道輸送能力的不足。
道路豎向規劃的常規做法是根據河道澇水位定豎向標高,其計算公式為“豎向標高=規劃澇水位+該處到河道最短距離×0.001+安全超高”,因此對于填方地區,整體地形以0.1%的坡度坡向周邊河道,如果此時道路縱坡最小為0.3%,那么道路設計時一定需要增加變坡點,形成凹形豎曲線,當降雨強度超過地下雨水管道實際輸水能力時,該點將出現嚴重積水,造成交通中斷。
一個設計合理的道路坡度,應同時考慮雨水的收集和輸送功能,這就要求:①常規降雨時(理想情況下為雨水管渠設計重現期),道路漫幅不能超過有關規定(暫無);②超標降雨時,道路形成路面行泄通道。當整體地形無法滿足0.3%的坡度時,強行要求道路縱坡不能小于0.3%,將導致路面行泄通道無法形成。當整體地形為0.1%坡度時,采用0.1%的道路縱坡將有助于形成路面行泄通道(此時道路橫坡必須為2.0%)。
5.1
道路坡度調整表14為道路縱坡為0.1%時的雨水口最小布置間距(滿足表13漫幅要求)。

如果道路長度為1 km,雨水口布置數量見表15。從表15可以看出,將道路縱坡調整為0.1%,橫坡調整為2.0%,雨水口數量僅有少量增加(24 m時甚至減少)。

5.2
輸水能力計算圖5為路面行泄通道過水斷面示意。出于計算簡化起見,不考慮道路中央分隔帶和機非隔離帶對過水斷面的影響,也不考慮超出道路機動車道和非機動車道范圍內的過水斷面。根據表2中規定,至少一條機動車道積水不能超過15 cm,假設機動車道寬度為3.5 m,則圖5中道路中央積水深度h=0.15-3.5×0.02=0.08(m)。

采用曼寧公式計算的路面行泄通道輸水能力見表16(假設機動車和非機動車道寬度均為3.5 m)。

比較表16和表17可以發現,7 m寬路面行泄通道輸水能力大致相當于直徑800 mm的雨水管道,14 m寬路面行泄通道輸水能力大致相當于直徑1 200 mm的雨水管道,21 m寬路面行泄通道輸水能力大致相當于直徑1 600 mm的雨水管道,28 m寬路面行泄通道輸水能力大致相當于直徑2 000 mm的雨水管道。
可見,通過適當調整道路縱坡和橫坡,即可滿足常規降雨時的路面雨水收集需求,又可應對超標降雨時的超標雨水輸送需求。和管道相比,路面行泄通道輸水能力更大,并且幾乎不存在堵塞的問題。
6 結論和建議
《室外排水設計規范》明確要求應經過計算確定雨水口的形式、數量和布置,由于我國暫無完整的雨水口計算方法,前文采用的均為美國聯邦公路管理局2009年出版的《Urban Drainage Design Manual》中的計算方法。經過計算和分析,主要結論和建議如下:
(1)當箅前水深、道路橫坡和縱坡不變時,雨水口泄水能力隨箅數增大而增大,但存在一個上限值(偏溝流量)。
(2)當箅前水深和道路橫坡保持不變時,雨水口允許最大間距隨道路縱坡增大而增大。
(3)當道路縱坡和漫幅不變時,雨水口允許最大間距隨道路橫坡增大而增大。
(4)當箅前水深、道路橫坡和縱坡保持不變時,雨水口允許最大間距隨箅數增大而增大。
(5)我國應盡快制定道路漫幅設計標準。建議18 m以下道路允許漫幅為3.5 m,18 m以上(含18 m)道路允許漫幅為4.0 m。
(6)建議30 m以上道路設計時橫坡采用2.0%。
(7)建議道路縱坡最小值采用0.1%,以便形成路面行泄通道。當道路縱坡較小時,橫坡應加大到2.0%。
更多相關信息 還可關注中鐵城際公眾號矩陣 掃一掃下方二維碼即可關注





